
图文导读
第一作者:张思雨
通讯作者:蔡新璐
发表期刊:Personality and Individual Differences
期刊5-Year Impact Factor:3.5
通讯单位:杭州师范大学
论文DOI:10.1016/j.paid.2025.113363
研究简介
近日,脑科学研究所、经亨颐教育学院心理学系蔡新璐副教授课题组在心理学国际期刊Personality and Individual Differences (SSCI 中科院2区,JCR Q2)上发表题为“Using latent profile and network analyses to characterize individuals with musical anhedonia: An explorative study”论文,这是一项探索音乐快感缺失的不同亚型及其心理特征的研究。
引言
快感缺失是多种精神障碍的核心症状之一,随着研究深入,研究者们逐渐认识到快感缺失并非单一维度的现象,而是涵盖躯体、社交、预期与即时快感等多个维度。近年来研究者开始关注音乐快感缺失,即个体无法从音乐中获得愉悦感。尽管音乐在人类社会中普遍被视为高度愉悦的体验来源,但人们在音乐奖赏体验上的个体差异显著,其机制仍有待深入探索。鉴于此,研究团队采用潜在剖面分析识别音乐快感缺失的潜在亚型,并结合网络分析进一步揭示音乐快感缺失与其他类型快感缺失之间的关联模式。
图文导读
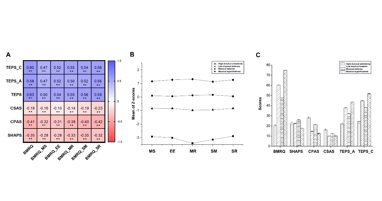
课题组招募了3942名大学生,使用巴塞罗那音乐奖赏问卷、Snaith快感缺失量表、躯体快感缺失量表、社会快感缺失量表以及时间体验愉悦量表等工具,全面评估个体在快感缺失不同维度上的特征。潜在剖面分析结果表明。在一般人群中,音乐快感缺失包含“高音乐快感缺失组”、“低音乐享乐组”、“音乐享乐组”及“高音乐享乐组”四个亚型。四组在一般快感缺失、躯体快感缺失、社会快感缺失、期待性与即时性快感缺失得分存在显著差异,其中“高音乐快感缺失组”的躯体快感缺失、社会快感缺失、期待性与即时性快感缺失严重程度显著高于其他组别。
(A)音乐快感缺失问卷与其他问卷的相关热图;(B)音乐快感缺失四个潜在亚组的特征分布;(C)音乐快感缺失四个潜在亚组在各变量上得分。
全样本网络分析的结果揭示音乐快感缺失与期待性、即时性快感缺失存在强连接,且音乐快感缺失的心境调节维度在网络中具有核心地位。对于不同亚组的网络,研究发现音乐快感缺失水平越高,网络内连接密度越低。网络比较结果显示不同亚组的网络结构与全局强度均存在显著差异。
音乐快感缺失与其他快感缺失关系的网络结构
基于潜在剖面分析识别的四个亚组的网络结构
总结而言,本研究从个体差异视角出发,首次探索音乐快感缺失的不同亚组及音乐快感缺失的不同维度与其他不同类型快感缺失的动态关系,为后续基于音乐干预的快感缺失治疗提供了理论基础与研究启发。
作者简介
第一作者 张思雨
张思雨,2022级心理学研究生,主要研究方向为音乐奖赏加工及其机制,发表相关论文一篇。
通讯作者 蔡新璐
蔡新璐,博士,杭州师范大学脑科学研究所、经亨颐教育学院心理学系副教授,主要从事精神疾病发生发展机制研究。主持国家自然科学基金青年基金项目、上海市心理健康与危机干预重点实验室开放课题项目;作为主要参与人员,参与“科技创新2030——脑科学与类脑研究”(中国脑计划)重大项目、教育部哲学社会科学研究重大课题攻关项目等多项国家级课题。在Schizophrenia Bulletin、Human Brain Mapping、Neuroscience & Biobehavioral Reviews等国际期刊发表研究论文多篇。

地址:杭州市余杭塘路2318号杭州师范大学恕园29号楼
邮编:311121
电话:0571-28864320
电子邮箱:wenjied@hznu.edu.cn
官方微信