
第一作者:陆晓清
通讯作者:杨仲
发表期刊:Acta Psychologica
期刊5-Year Impact Factor:2.3
通讯单位:杭州师范大学
DOI:https://doi.org/10.1016/j.actpsy.2025.105088
研究简介
近日,脑科学研究所团队(杨仲、李葆明)在心理学国际期刊Acta Psychologica(SSCI,JCR Q2)上发表题为“The influence of third-party’s power on multi-player fairness decision-making”的研究论文,探讨了第三方决策权对多人公平决策的影响机制。
研究背景
公平是人类社会的基本准则与人际交往的重要基石。人们对公平的感知源于对自身收益与他人收益差异的比较。由于人们始终处于复杂的社会关系中,其公平感知不仅取决于两个人之间的比较,也会考虑其他社会成员。以往研究表明,当无权力第三方遇到不公平对待时,人们愿意牺牲自身利益以维护其公平权益;然而,当第三方拥有权力时,人们对第三方公平的关注度降低,甚至可能期望获得优于对方的待遇。由此可见,基于第三方权利状态的不同,人们可能会采用不同的社会准则。本研究采用改编的三人最后通牒博弈范式,结合计算建模,旨在探究第三方决策权对多人公平决策的影响机制。
图文导读
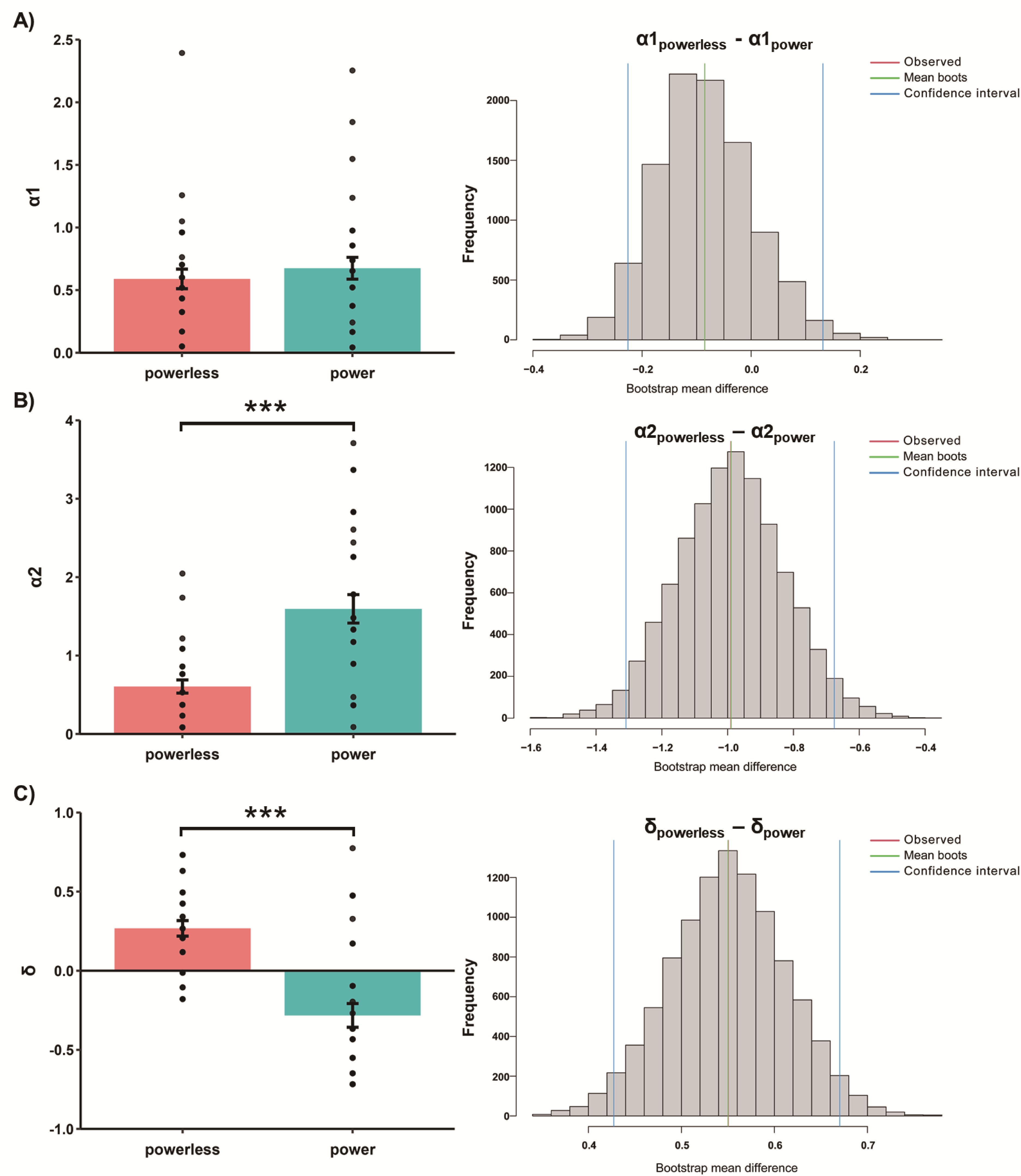
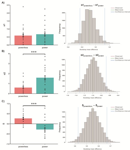
本研究采用经典和改编的三人最后通牒博弈范式,探究了第三方决策权对多人公平决策的影响。首先,本研究揭示了第三方决策权对被试者在公平决策中所采用的社会准则的影响:当第三方无权力时,被试者会采取公平准则;而当第三方拥有权力时,被试者则会同时采取公平准则和社会比较准则。其次,本研究扩展了不平等厌恶理论:被试者对不同身份的玩家存在不同程度的不利不平等厌恶;在多人决策情境中,被试者甚至会表现出对他人的有利不平等偏好。最后,本研究发现责任感知可能是第三方决策权影响多人公平决策行为的一个机制。
本研究的创新之处:揭示了第三方权力在执行公平准则、促进合作与规范遵从行为中的作用。同时,扩展了不平等厌恶理论,为深入理解多人公平决策行为提供了新视角。
图1. 实验流程图
图2. 第三方决策权对接受率、反应时、公平评定的影响
图3. 基于计算建模方法估计不利不平等厌恶系数和有利不平等厌恶/偏好系数(即α1、α2、δ)的均值及其分布直方图
第一作者
陆晓清,杭州师范大学2021级应用心理专业硕士研究生,研究方向为公平决策。在读期间以第一作者发表会议摘要1篇(中国心理学大会,2023)、研究论文1篇(Acta Psychologica, SSCI)。曾获批杭州师范大学2022年度“星光计划”学生创新创业项目。
通讯作者
杨仲,博士,杭州师范大学脑科学研究所、经亨颐教育学院心理学系讲师。主要研究方向为社会决策的心理及神经机制。主持国家自然科学基金青年基金项目,参与国家自然科学基金面上项目(2项)。迄今,作为主要作者在NeuroImage、Social Cognitive and Affective Neuroscience、Journal of Experimental Social Psychology、Psychophysiology等国际刊物发表研究论文多篇。

地址:杭州市余杭塘路2318号杭州师范大学恕园29号楼
邮编:311121
电话:0571-28864320
电子邮箱:wenjied@hznu.edu.cn
官方微信